PrEP Disclosure Online: Still not happening
It’s been a while since I’ve looked at data on degree of PrEP disclosure in web-based real-time dating sites. The past few months were pretty busy for me, and I just didn’t have the time to do it. Further there was (and still is) a lot of noise in the numbers, so the important thing was the trend line.
But, I ran the analysis again a few days ago. This is now with nearly 60 weeks of data from the main website I’ve been looking at and covering about 20-25K unique users per week. The simple answer is that people are still not choosing to disclose their PrEP status in the free text of their profiles on the website. (The website has no option for a controlled-vocabulary disclosure.) Less than 1% of people are disclosing; from a bit of interview work, I’ve found a lot of people who are on PrEP but do not disclose on this website.

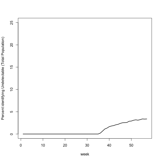
What’s unclear here is why people are not disclosing, but, there’s a nice natural experiment here. Around week 35 of the study period, the website added a new HIV status: “undetectable.” This is not something that a user has to type into the free-text box, but is selected from a drop-down list. The adoption rates are very different:

(Note the y-axis here is different; the take-away is that at the end of the study period, less than 1% of people are disclosing PrEP status, but nearly 5% are disclosing an undetectable status.)
What’s the reason for these differences? One possible explanation is the “set it and forget it” mindset, where a user creates his profile and then does not change the text again. From other work, I know that the rate of change of profiles is very low: around 1% per day, with some evidence that it’s the same 1% that do all the changing. Another explanation is that the drop-down is just easier to use / easier to update.
The more troubling explanation is that there is a concern around disclosing PrEP status, e.g. a sense that “only sluts are on PrEP” or similar. It’s hard to tease out this from the data at hand, though.